您好,请
登录
注册
首页
国际学校
课程中心
A-level
IGCSE
AP
IB
下载中心
考试指南
院校中心
常见问题
升学篇
选课篇
择校篇
常用工具
常用官网
词典
院校和专业真伪查询
新闻资讯
国内资讯
国外资讯
您的位置:
首页
下载中心
AP微积分BC I笔记-问题3
AP微积分BC I笔记-问题3
发布时间 : 2020-05-26 09:57:37
浏览量 : 893
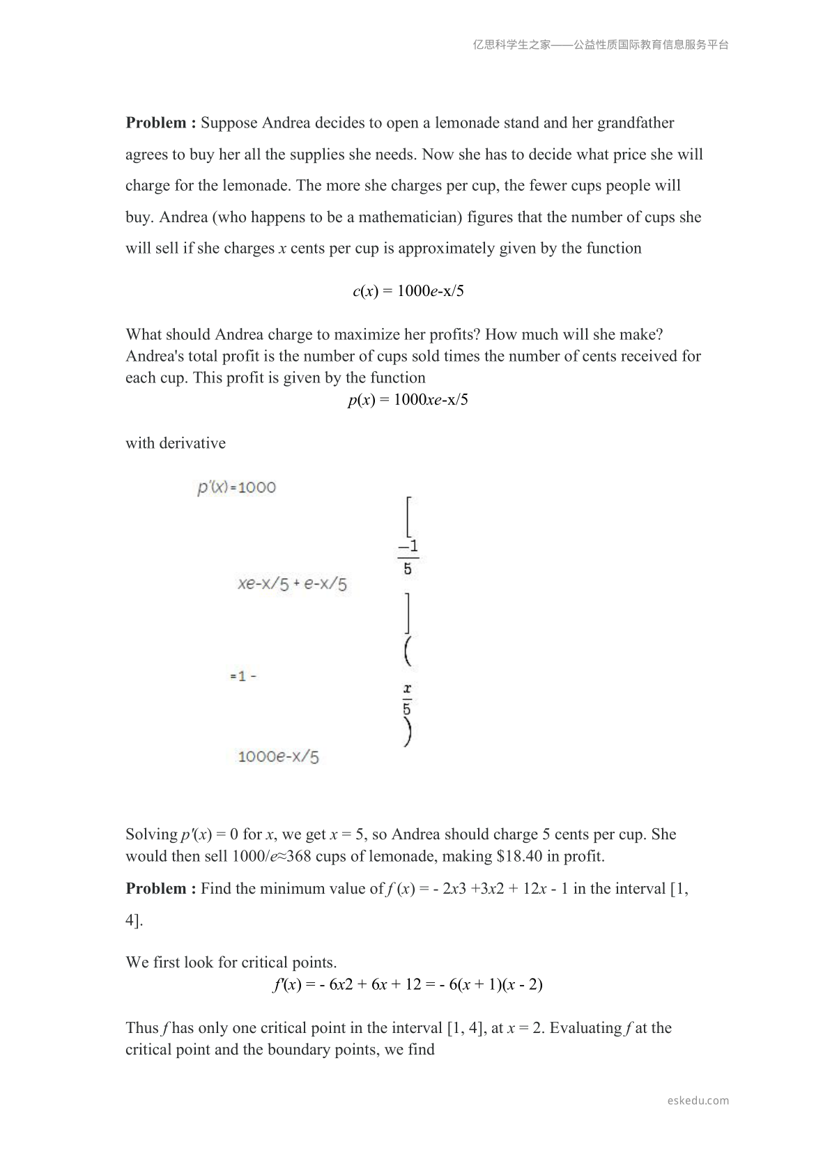
AP微积分BC I笔记-问题3
/2
文档信息
文件格式:
PDF
文档类型:
复习笔记
文档大小:
96.32KB
文档页数:
2页
发布时间:
2020-05-26 09:57:37
收藏
下载
相关推荐文档
AP微积分BC II笔记-计算积分问题1
AP生物学笔记-第3章核酸和脂质
AP生物学笔记-第20章周围神经系统
AP生物学复习笔记-实验室检查
AP物理2笔记-课堂笔记Bigler
AP世界历史笔记-第33章拉丁美洲:进入21世纪的革命和反应
AP微积分AB笔记-反函数的问题1
AP宏观经济学笔记-消费功能
AP生物学笔记-第29章分生组织
AP微积分BC II笔记-部分分数分解
上传资源
声明:上传涉及侵权内容的文档将会被移除,严禁上传含有反动、淫秽色情及低俗信息等文档
AP微积分BC I笔记-问题3
/2
免密码登录
密码登录
获取短信验证码
注册/登录
忘记密码?
登 录
如果您有学习资料想要无偿分享,点击确认以后,与客服联系进行提交
确认