注册

logo
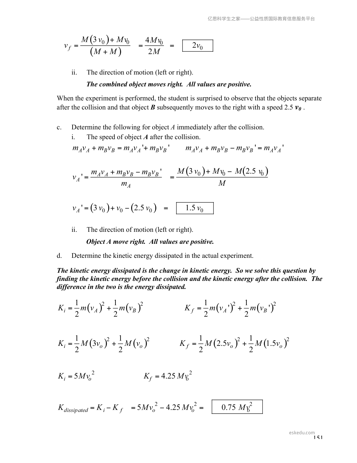
AP物理C笔记-动量总结
发布时间 : 2020-05-21 09:50:30 浏览量 : 695
iconAP物理C笔记-动量总结
/9
图片0 图片1 图片2 图片3 图片4
文档信息
  • 文件格式: PDFPDF
  • 文档类型: 复习笔记
  • 文档大小: 684.3KB
  • 文档页数: 9页
  • 发布时间: 2020-05-21 09:50:30
  • 收藏
下载
icon AP物理C笔记-动量总结
/9
图片0 图片1 图片2 图片3 图片4
  • 免密码登录
  • 密码登录
忘记密码?
如果您有学习资料想要无偿分享,点击确认以后,与客服联系进行提交
确认