注册

logo
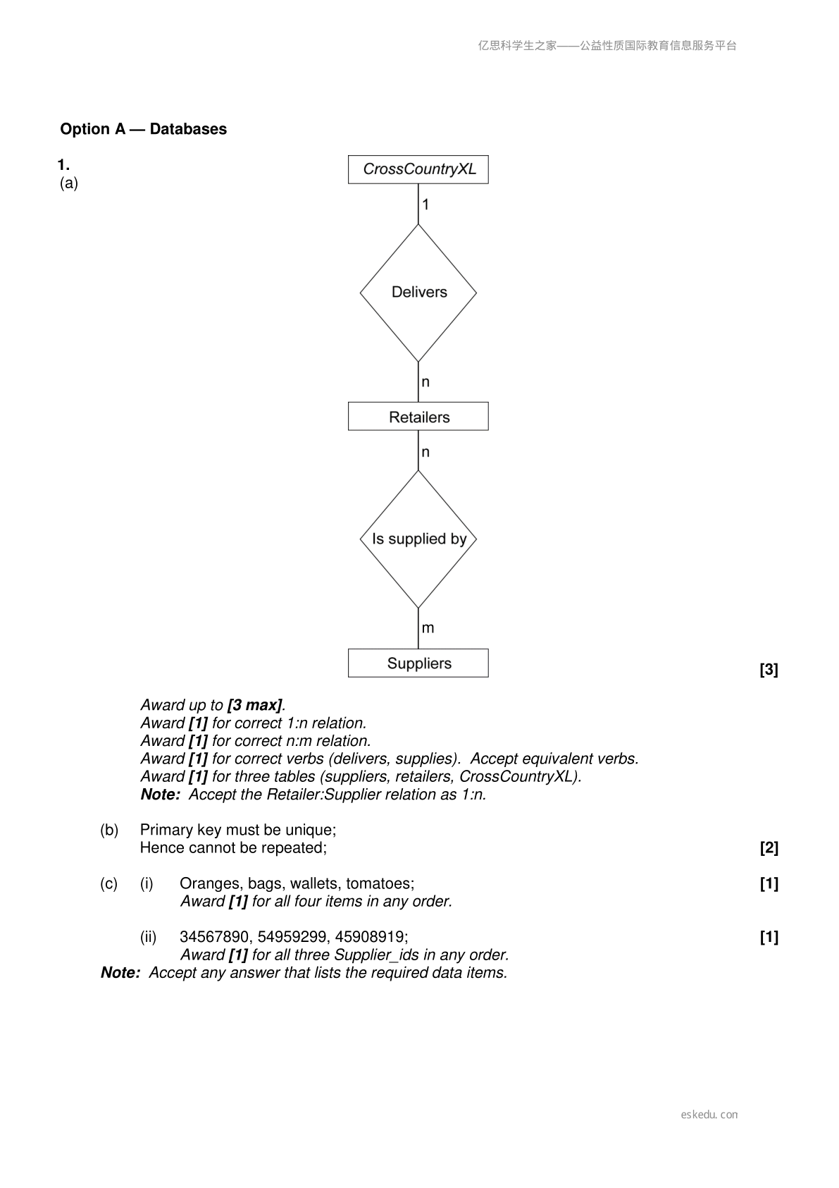
IB 2016年5月计算机科学HL真题答案-2
发布时间 : 2020-05-18 20:53:48 浏览量 : 718
iconIB 2016年5月计算机科学HL真题答案-2
/25
图片0 图片1 图片2 图片3 图片4
文档信息
  • 文件格式: PDFPDF
  • 文档类型: 历年真题
  • 文档大小: 246.01KB
  • 文档页数: 25页
  • 发布时间: 2020-05-18 20:53:48
  • 收藏
下载
icon IB 2016年5月计算机科学HL真题答案-2
/25
图片0 图片1 图片2 图片3 图片4
  • 免密码登录
  • 密码登录
忘记密码?
如果您有学习资料想要无偿分享,点击确认以后,与客服联系进行提交
确认